人才培养

我院研究生在国家级、省级书法大赛中斩获佳绩

发布日期:2025-05-14 作者: 阅读:

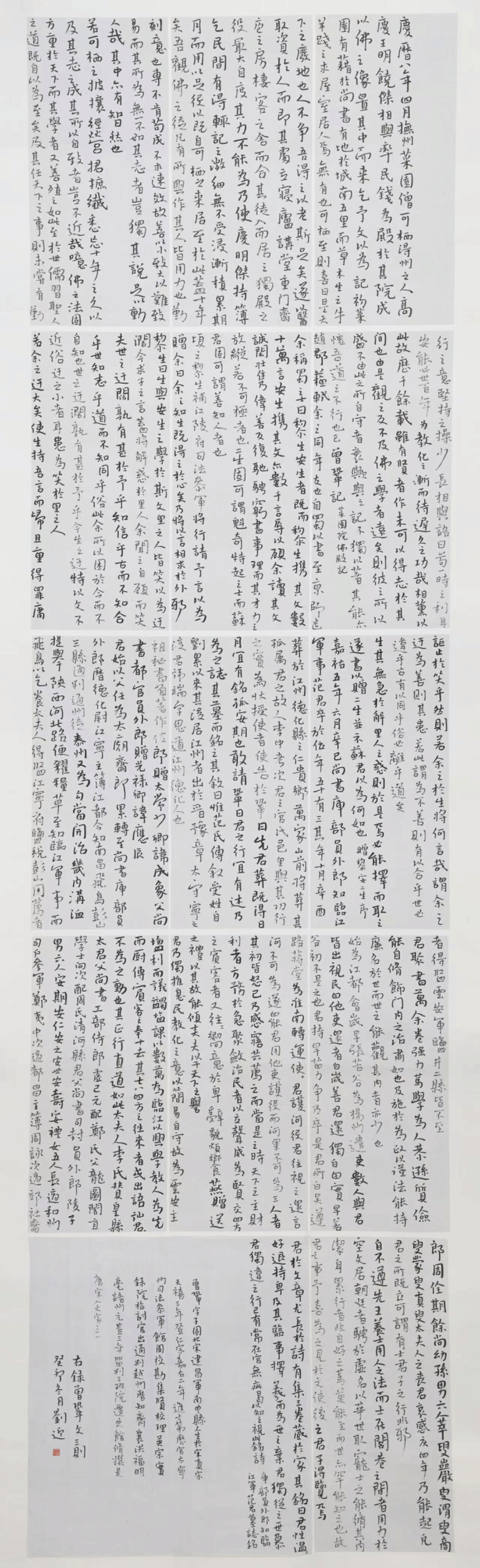
5月12日,“笔耕新时代·墨舞新征程”第三届全国群文系统原创书画展大赛圆满落幕。我院硕士生导师王子文博士指导的研究生刘迎书法作品《曾巩文集选》成功入展。此次赛事由文旅部全国公共文化发展中心文化和旅游部全国公共文化发展中心、中国文化馆协会、江西省文化和旅游厅联合举办,全国1200件参赛,96件书法作品入展,江西省仅有5人获此殊荣,刘迎位列其中。其作品以深厚的传统功底与创新表达,展现了学院书法教育的丰硕成果。

刘迎作品《曾巩文集选》

同期,在江西省第十二届大学生书法大赛中,我院研究生再创佳绩。刘龙祥(导师:王子文)硬笔书法作品《爱莲说》获硬笔组二等奖,王欣灵(导师:巫绍平)篆刻作品《王欣灵印迹》获软笔·篆刻组二等奖。该赛由江西省硬笔书法家协会举办,南昌市硬笔书法协会、江西省硬笔书法家协会大学生书法联合会等承办,全省2000余人参赛,最终277人获奖,其中硬笔组104人,软笔·篆刻组173人。两位研究生的作品凭借精湛技艺与独特创意,赢得了评委的高度认可。

刘龙祥作品《爱莲说》

此次佳绩充分实证了“理论教学+实践创作+学术研究”研究生立体化培养模式的成效,彰显了“美术与书法”导师团队的专业素养和精工精神,展现了学院学生在美术与书法领域的实践能力和靓丽风采!

版权所有:中国·威廉希尔(williamhill)中文官方网站-Official Website

邮政编码:330038

联系电话:0791-83811524

williamhill威廉希尔中文 职教师资培训基地 

电话:0791-83886652 地址:江西南昌昌北经济技术开发区枫林西大街605号